Aritmética   Teoría      Propuestas   Herramientas

Estás en  Inicio   Sin decimales >   Aritmética > Diccionario

Descarga en PDF (No funcionarán los enlaces externos)

 

Pequeño diccionario de Aritmética

 

A    B    C    D   E     F

G    H    I    L    M    N

O    P    R    S    T    U

W    Y   Z

 

Se incluyen también algunos conceptos de teoría de conjuntos.

Selecciona una letra o un tema:

A

Abeliano

Absoluto

Adición

Afortunado

Algoritmo

Anagramático

Anillo

Antisimétrica

Aritmética

Armónico

Arquímediano

Asociativa

Automórfico

Autonúmero

 

B

 

Bachet de Meziriac

Base

Belga

Bell

Benford

Biyectiva

Buen orden

 

C

 

Cadena

Capicúa

Cardinal

Cartesiano

Casi-cuadrado

Catalan

Cerrado

Cíclico

Cifra

Cociente

Collatz

Conjetura

Conmutativa

Contar

Contraarmónica

Convergente

Coordinable

Correspondencia

Cósico

Cota

Cuadrado

Cúbico

Cuerpo

Cumulante

 

D

 

Decimal

Definición por recursividad

Densidad

Desigualdad

Devlali

Diferencia

Dígito

Diofántico/a

Distributiva

Dividendo

División

Divisor

 

E

 

 

Ecuación

Equilibrado

Equipotente

Especular

Exponente

Extremos

 

F

 

Factor

Factorial

Feliz

Fermat

Fibonacci

Figurado

Finito

Fracción continua

Friedman

 

G

 

Gauss

Geométrico/a

Gnomon

Golomb

Grupo

 

H

 

Hamming

Heterómero

Hexagonal

 

I

 

Idempotente

Igualdad

Impar

Inducción

Infimo

Infinito

Inverso

 

J

 

Jacobsthal

Jerarquía de operaciones

 

K

 

Kaprekar

 

L

Ley

Lychrel

Lucas

 

M

 

Máximo y mínimo

Mayor

McNugget

Media

Menor

Mian-Chowla

Minuendo

Moessner

Monotonía

Multiplicación

 

N

 

Narayana

Narcisista

Natural

Neutro

Numeración

Número

 

O

 

Orden

Oblongo

Operación

Opuesto

 

P

 

Padovan

Palindrómico

Pandigital

Par

Paridad

Peano

Pell

Perrin

Pentagonal

Piramidal

Pitagórica

Plástico

Poligonal

Poligorial

Potencia

Potenciación

Producto

Proporción

Proporcional

 

R

 

Radicación

Raíz

Razón

Recamán

Rectangular

Recurrencia

Reducida

Reflexiva

Relación

Repidígito

Repituno

Resta

Resto

Reverso

 

S

Saint-Exupery

Semigrupo

Semifactorial

Simétrico

Sistema

Sólido

Sordo

Sucesión

Suma

Sumando

Supremo

Sustracción

Sustraendo

 

T

 

Tetractys

Tetragonal

Transitiva

Triangular

Tribonacci

 

U

 

Ulam

Unidad

 

W

 

Woodall

 

Y

 

Yellowstone

 

Z

Zeckendorf

 


A

Absoluto

Valor absoluto

El valor absoluto de un número real se define como él mismo si es positivo o cero, o su opuesto si es negativo. Se representa con el símbolo |n|

Si n>=0, |n|=n  Si n<0, |n|=-n



Abeliano

Sinónimo de conmutativo.



Adición

Es la operación de sumar dos números.



Afortunado

Aunque se usa también en otros sentidos, se llama número afortunado al que sobrevive a una criba. Por ejemplo, los números primos son afortunados para la criba de Eratóstenes.



Algoritmo

Es una serie finita de reglas o cálculos en un orden determinado para obtener un resultado a partir de unos datos

Algoritmo de la numeración

Conjunto de reglas y convenios que permiten, dada una base de numeración, representar cualquier número mediante un conjunto de símbolos llamados cifras.

Algoritmo 196

Consiste en ir sumando cada número  natural expresado en el sistema decimal con el formad con las mismas cifras invertidas. Esta operación se repite hasta desembocar en un capicúa. Por ejemplo: 337+733=1070; 1070+0701 = 1771, que es capicúa. Existen números, como el 196, para los que aún no se sabe si la iteración termina en un capicúa o no. Son los llamados números de Lychrel: 196, 295, 394, 493, 592

 

Anagramático

Dos números naturales son anagramáticos si las cifras de uno son anagramas de las del otro, es decir, ambos tienen las mismas cifras (contando repetidas) pero en distinto orden. Por ejemplo, 151047 y 104571.

Anillo

Estructura algebraica formada por un conjunto dotado de dos operaciones (las llamaremos suma y producto) tales que se cumple:

El conjunto para la suma constituye un grupo aditivo
El producto convierte al conjunto en semigrupo multiplicativo
El producto es distributivo respecto a la suma.



Aritmética/o

Aritmética

Es la ciencia que estudia las operaciones básicas con números racionales. Como tal ciencia se considera fundada por Pitágoras.

Triángulo aritmético

Nombre dado también al triángulo de Pascal o Tartaglia.

Sucesión o progresión aritmética

Es aquella en la que cada término es igual al anterior sumado con un número constante llamado diferencia. Su fórmula de recurrencia es: a1=a; an=an-1+d, donde a (valor inicial) y d (diferencia) son constantes.

Media aritmética

Ver Media

Armónico

Un número armónico Hn es un número racional formado mediante la suma de los inversos de los números naturales hasta n, es decir





La sucesión de los números armónicos tiene límite infinito, por ser divergente la serie armónica a la que pertenecen los sumandos. Es fácil ver que los denominadores de los números armónicos son, salvo simplificaciones, los primeros factoriales.

Media armónica

Ver Media



Arquimediano

Un grupo aditivo totalmente ordenado es arquimediano cuando dados dos elementos del grupo x>0 e y>0, existe siempre un número natural n tal que el producto de x por n (en el sentido de suma repetida) es mayor que y (x*n>y) Se suele expresar coloquialmente como que todos los elementos de ese grupo son alcanzables.

Los números enteros Z son arquimedianos.



Asociativa

Propiedad asociativa

Una operación definida sobre un conjunto se llama asociativa cuando se cumple, para toda terna de elementos a, b y c del conjunto que

(a*b)*c = a*(b*c)




Automórfico

Número automórfico

Un número se define como automórfico cuando su cuadrado tiene como últimas cifras las mismas que ese número. Los primeros números automórficos son 5, 6, 25, 76, 376, 625... En efecto: 52=25, 62=36, 252= 625, 762= 5776, 3762= 141376,...

Para cada número de cifras existen al menos dos números automórficos, uno terminado en 5 y otro en 6.



Número trimórfico

Es similar al anterior, pero la propiedad la cumple con el cubo: 43 = 64, 243 = 13824, 2493 = 15438249.

Todos los números automórficos son también trimórficos.



Autonúmero

Su definición es algo extraña, porque son aquellos números enteros positivos que no pueden ser expresados como la suma de otro entero con la suma de sus cifras. Por ejemplo, 20, no puede generarse con números más pequeños a los que les sumamos sus cifras. Con los de una cifra se ve que es imposible, y con los de dos: 11+1+1=13, 12+1+2=15, 13+1+3=17, 14+1+4=19, 15+1+5=21, y el resto tampoco daría como resultado 20.

Son estos:

1, 3, 5, 7, 9, 20, 31, 42, 53, 64, 75, 86, 97, 108, 110, 121, 132, 143, 154, 165, 176, 187, 198, …

También los puedes estudiar en http://oeis.org/A003052



 


 

B

Bachet de Meziriac

Conjetura de Bachet de Meziriac

Todo número natural puede expresarse como suma de a lo más cuatro cuadrados.

(Fue demostrado más tarde por Lagrange)

Teorema de Bachet de Meziriac

El sistema x2 = y2 + z2 ; y*z=2t2 no tiene solución.

Es decir: "No hay triángulo rectángulo pitagórico con área expresada por un número cuadrado"



Base

Base de un sistema de numeración

Es el número de unidades de orden inferior necesarias para obtener una unidad de orden inmediato superior. Coincide con el número de símbolos necesarios para escribir cualquier número en ese sistema de numeración.

Base de una potencia

Ver Potencia



Belga

Estos números han sido introducidos por Eric Angelini y publicados en el año 2005 en http://oeis.org/A106039. Hay varios tipos, por lo que comenzaremos con los 0-Belgas. Estos números tienen la propiedad de que si a partir del número 0 vamos sumando reiteradamente las cifras (por orden) del número dado, se forma una sucesión que contiene a ese número. Por ejemplo, el 18 es 0-belga, porque a partir del 0 vamos a ir sumando sucesivamente 1, 8, 1, 8,…hasta llegar o sobrepasar el 18: 0, 1, 9, 10, 18, resultando que el mismo 18 es término de la sucesión.



Bell

Números de Bell

Los números de Bell son los términos de la sucesión 1, 2, 5, 15, 52, 203, 877, 4140, 21147, 115975, 678570, 4213597, ...

Representan las formas de colocar n bolas etiquetadas en n cajas indistinguibles. Por ejemplo, los símbolos a,b y c se pueden situar en tres cajas (eventualmente vacías) de 5 formas: (abc), (a)(bc), (b)(ac), (c)(ab) y (a)(b)(c).

También representan las formas de expresar como producto de factores un número compuesto que equivale al producto de n factores primos distintos. Es el caso del número 30 = 2.3.5 y que también se puede descomponer en producto de 5 formas distintas: 30 = 6.5 = 3.10 = 15.2 = 2.3.5



Benford

Ley de Benford

La ley de Benford, también conocida como la ley del primer dígito, asegura que, en los números que existen en la vida real, la primera cifra es 1 con mucha más frecuencia que el resto de los números.



Biyectivo/a

Correspondencia biyectiva

Una correspondencia entre conjuntos se llama biyectiva cuando todos los elementos de uno tienen imagen en el otro y una sola.



Buen orden

Diremos que un conjunto está bien ordenado cuando todo subconjunto no vacío del mismo posee un elemento mínimo.




 

C

Cadena

Sinónimo de subconjunto totalmente ordenado. Por ejemplo, los múltiplos de 5 para la relación ≤, o las potencias de 7 para la relación de ser múltiplo"



Capicúa

Sinónimo de palindrómico.



Cardinal

Cardinal de un conjunto

Un número natural n es el cardinal de un conjunto cuando se puede establecer una correspondencia biyectiva entre los elementos del conjunto y los números {1, 2, 3, ... n} Es evidente que si entre dos conjuntos es posible construir una correspondencia biyectiva, tendrán el mismo cardinal. Es una relación que clasifica a los conjuntos en clases de equivalencia.



Cartesiano

Producto cartesiano

El producto cartesiano de dos conjuntos A y B es otro conjunto formado por todos los pares posibles formados por un elemento de A y otro de B en ese orden.



Casi-cuadrado

Números casi-cuadrados

Son aquellos números naturales que se pueden expresar como n2 - 1. siendo n otro número natural. Por ejemplo, son casi-cuadrados el 8, el 24, el 48, etc.



Catalan

Números de Catalan

Llamaremos números de Catalan a los términos de la sucesión 1, 2, 5, 14, 42, 132, 429, 1430, 4862, 16796,...

Ecuación de Catalan

Es la ecuación diofántica xm - yn = 1 con todos x,y,m y n naturales mayores que 1

Conjetura de Catalan

Sólo existe una solución para la ecuación anterior: 32 - 23 = 1



Cerrado/a

Conjunto cerrado para una operación

Un conjunto es cerrado para una operación (o también, la operación es cerrada en el conjunto) cuando dados dos elementos del conjunto, el resultado de aplicar la operación entre ellos da siempre como resultado otro elemento del conjunto.



Cíclico/a

Número cíclico

Un número natural de n cifras se llama cíclico cuando al multiplicarlo por cualquier otro número natural entre 1 y n se obtiene un resultado formado por las mismas cifras que él, pero desplazadas cíclicamente.

Por ejemplo, el número 142857 al multiplicarlo por 2 se convierte en 285714 y al multiplicarlo por 3 en 428571. Intenta todos los productos por los números 1, 2, 3, 4, 5 y 6



Cifra

Cifras en un sistema de numeración

Son los distintos símbolos usados en ese sistema, así 1,2,3...9,0 en el sistema decimal o M,C,D,... en el romano.



Cociente

Cociente en una división

Ver División

Cociente en una fracción continua

Ver Fracción continua



Collatz

Conjetura de Collatz

Se toma un número entero positivo N cualquiera, por ejemplo el 13, y se le aplica la siguiente operación, a la que llamaremos función COLL(N):

·       Si el número es par, se divide entre 2.

·       Si el número es impar, se multiplica por 3 y se le suma 1.

En el caso del 13, como es impar, se le aplicará la segunda, y quedará COLL(13)=13*3+1=40.

La idea de la conjetura es que sigamos aplicando esta operación a todos los resultados que obtengamos, En nuestro caso sería COLL(40)=20 (por ser par), COLL(20)=10, COLL(10)=5, COLL(5)=3*5+1=16, COLL(16)=8, COLL(8)=4, COLL(4)=2, COLL(2)=1, y a partir del 1 se entra en el ciclo {4, 2, 1}

La conjetura afirma que este final en el 1 y el ciclo posterior ocurre para cualquier otro entero positivo. Sea cual sea el comienzo, se llegará al número 1. Todas las sucesiones construidas así terminarán en el ciclo 4, 2, 1.



Conjetura

Una conjetura es una afirmación que parece ser cierta en muchos casos, pero que no se ha podido demostrar.



Conmutativa

Propiedad conmutiva

Una operación definida en un conjunto tiene la propiedad conmutativa cuando para todo par de elementos a y b del conjunto se cumple

a*b = b*a

Grupo, anillo o cuerpo conmutativo

Son aquellos en los que es válida la propiedad conmutativa. También se llaman abelianos



Contar

Operación de contar

Es la operación de construir una correspondencia biyectiva entre los elementos de un conjunto dado y el conjunto adecuado de los n primeros números naturales. Al valor de n le llamaremos cardinal del conjunto.


Contraarmónica

La media contraarmónica de un conjunto de números positivos se define como la media aritmética de los cuadrados de los números dividida por la media aritmética de los números. En el caso de dos, a y b, sería (a2+b2)/(a+b)


Convergente

Convergente de una fracción continua

Es sinónimo de fracción reducida.



Coordinable

Conjuntos coordinables

Dos conjuntos son coordinables cuando se puede establecer una correspondencia biyectiva entre los elementos de uno y otro.



Correspondencia

Una correspondencia entre dos conjuntos es cualquier subconjunto de su producto cartesiano. En la práctica consiste en asignar una pareja o varias a todos o algunos elementos del conjunto.



Cósico

Número cósico

Un número natural a se llama cósico cuando es potencia exacta de otro número natural. Como casos particulares están los números cuadrados, cúbicos, etc.



Cuadrado

Números cuadrados

Un número natural a se llama cuadrado cuando existe otro número natural n tal que a=n2.

Cuadrados mágicos

Un cuadrado mágico es una matriz cuadrada de números en la que las sumas por filas, columnas y diagonales son todas iguales.



Cúbico

Número cúbico

Un número natural a se llama cúbico si es la tercera potencia (cubo) de otro número natural.



Cuerpo

Cuerpo como estructura algebraica

Un cuerpo es un anillo con elemento neutro para el producto (llamado unidad) en el que todos los elementos salvo el cero (elemento neutro para la suma) poseen un inverso.



Cumulantes

Algoritmo de los cumulantes

Es el algoritmo (también se llaman cumulantes los distintos resultados del mismo) que encuentra las reducidas de una fracción continua.


 

CH

 


 

D

 

Decimal

Sistema de numeración decimal

Es aquel sistema de numeración posicional en el que cada tipo de unidad (unidades, decenas, centenas, millares, etc.) es diez veces mayor que su inmediata precedente. Sus cifras son 0,1,2,3,4,5,6,7,8 y 9.

Definición por recursividad

Una sucesión de números naturales puede ser definida por recursividad. Esta definición se compone de dos declaraciones:
a) Se definen directamente los valores de los primeros términos de la sucesión: a1=m, a2=n, a3=p,...
b) El resto de términos se define en función de los anteriores an = f(an-1, an-2, an-3...)

Ejemplo de recursividad es la definición de factorial: 1! = 1, n!=(n-1)!*n o la de la sucesión de Fibonacci: a1=1, a2=1, an=an-1 + an-2


Densidad

Dada una sucesión A cualquiera, deberemos conocer una función de conteo a(n), definida como el número de elementos de A que son menores o iguales a n. Entonces definiremos la densidad d natural de A (si existe) como el cociente a(n)/n cuando n tiende a infinito.

Descomposición

Descomposición de un conjunto en sumas

Ver Partición



Desigualdad

Desigualdad de números naturales

Un número natural a es menor que otro número b cuando cualquier conjunto del que es cardinal a es coordinable con una parte estricta de otro conjunto cuyo cardinal es b. Si se permite que esa parte pueda ser todo el conjunto, diremos que a es menor o igual que b.

Las relaciones inversas serán mayor y mayor o igual.

Dos números son desiguales si uno de ellos es menor que el otro.



Devlali

Números de Devlali, autonúmeros o números colombianos.

Son aquellos números enteros positivos que no pueden ser expresados como la suma de otro entero con la suma de sus cifras (Kaprekar llamó a esta operación digitadición).



Diferencia

La diferencia entre dos números a (minuendo) y b (sustraendo), con a mayor o igual que b, es otro número natural c (diferencia) que sumado con b da una suma igual a a.



Dígito

Número natural de una sola cifra



Diofántico/a

Ecuación diofántica

Una ecuación diofántica es aquella definida en el conjunto de los enteros, tanto para sus coeficiente como para los valores que puedan tomar las incógnitas.

Sistema diofántico

Es aquel que está formado por ecuaciones diofánticas.

Aproximación diofántica

Es aquella que busca aproximar un número real mediante números racionales. Un ejemplo típico es el de la aproximación a radicales cuadráticos mediante frcciones continuas.



Distributiva

Propiedad distributiva

Una operación * es distributiva respecto a otra operación + cuando se cumple, para toda terna de elementos a,b y c que

a*(b+c) = a*b+a*c



Dividendo

Ver División



División

División entera

Dados dos números naturales a (dividendo) y b (divisor), llamaremos división entera entre ellos a la operación de encontrar otros dos números naturales q (cociente por defecto) y r (resto por defecto), tales que se cumpla:

a = b.q + r con r<b

Se demuestra que ambos números q y r siempre existen para a y b dados.

También se pueden definir el cociente por exceso y su resto correspondiente:

a = b.(q+1) - r'  con r' <b

Se cumple que q + q' = d

Además, si se multiplican por un mismo número natural m tanto el dividendo como el divisor, el cociente no varía, pero el resto queda multiplicado también por m (en ambas modalidades por defecto y por exceso)

División exacta

Dados dos números naturales a (dividendo) y b (divisor), llamaremos división exacta entre ellos a la operación de encontrar otro número q (cociente) tal que se cumpla a=b.q

Si esta operación es posible, diremos que b es divisor de a, o bien que a es múltiplo de b.



Divisor

Divisor en una división

Ver División

Número divisor de otro

Ver División


 

E

Ecuación

Ecuación diofántica

Una ecuación diofántica es aquella definida en el conjunto de los enteros, tanto para sus coeficiente como para los valores que puedan tomar las incógnitas.

Ecuación diofántica lineal

La ecuación diofántica de tipo lineal más sencilla es la del tipo Ax+By=C

Para que tenga solución ha de ser C múltiplo de D=MCD(A,B). Se resuelve considerando el teorema que afirma que existen dos enteros m y n tales que mA+nB=D. Los valores de m y n se calculan mediante el algoritmo de Euclides y el algoritmo de las reducidas.

Ecuación de Pell

Ecuación pitagórica



Equilibrado

Número equilibrado

Un número es equilibrado en un sistema dado de numeración si (distintas definiciones):

(a) Todos sus dígitos aparecen con la misma frecuencia. Es popular el caso del sistema binario, en el que se exige que aparezcan el mismo número de 1 que de 0.

(b) Aparecen todos los dígitos posibles una vez.

(c) Posee el mismo número de dígitos pares que impares, o bien los pares figuran un número impar de veces y los impares un número par.

(d) Números de tres cifras en las una de ellas es promedio de las otras.

(e) Los primeros n dígitos tienen la misma suma que los n siguientes (en números de 2n cifras)
 

Primo equilibrado

Primo equilibrado es aquel que es promedio de su primo anterior y el siguiente.



Equipotente

Dos conjuntos se llaman equipotentes si es posible establecer entre ellos una correspondencia biyectiva.
Los dos conjuntos tendrán el mismo cardinal.



Especular

Números especulares

Dos números naturales se llaman especulares para la multiplicación cuando sus imágenes especulares dan el mismo producto que ellos. Por ejemplo:

23*64 = 46*32



Exponente

Ver Potencia

 


 

F

Factor

Factor en un producto

Se llaman factores en un producto a los dos o más números que se multiplican.



Factorial

Factorial de un número

Llamaremos factorial de un número natural n al producto

n! = n(n-1)(n-2)(n-3).....3.2.1

También se llama factorial de n de grado k y diferencia d al producto

a(a-d)(a-2d)..... (hasta k factores)

Si la diferencia es d=1, el factorial se representa por

a(n = a(a-1)(a-2)(a-3).....(a-k+1)

Es fácil demostrar que a(n es divisible entre n!



Feliz

Número feliz

Se define el siguiente algoritmo: Dado un número entero positivo expresado en el sistema de numeración decimal, se suman los cuadrados de sus dígitos, con lo que obtenemos otro número entero positivo. Volvemos a reiterar la operación de sumar los cuadrados de sus dígitos, y continuamos hasta llegar a 1 o a un ciclo que no lo contiene. Los números que llegan al final igual a 1 son los llamados felices, y al resto les llamaremos infelices.

El 203 es feliz, porque 22+32=13;  12+32=10; 12+02=1

Son felices, por ejemplo,  1, 7, 10, 13, 19, 23, 28, 31, 32, 44, 49, 68, 70, 79, 82, 86, 91, 94, 97 y 100

4 no es feliz, porque entra en un bucle: 4, 16, 37, 58, 89, 145, 42, 20, 4…



Fermat

Conjetura de Fermat (o gran teorema)

La ecuación diofántica xn + yn = zn no tiene solución para n>2

Euler la demostró para n=3 y n=4, Dirichlet para n=7 y Legendre para n=14.

En 1995 la demostró Wiles para todo n.

Ecuación de Fermat

La ecuación y2– a*x2 = 1

Si a no es un número cuadrado admite infinitas soluciones.



Fibonacci

Sucesión de Fibonacci

Se llama sucesión de Fibonacci a la siguiente: 1, 1, 2, 3, 5, 8, ...que cumple que cada elemento es suma de los dos anteriores, definiendo además a1 como 1 y a2 como 1


Multiplicación de Fibonacci

La representación de Zeckendorf da lugar a un producto muy curioso, que consiste, dados dos números representados como suma de elementos de Fibonacci, formar un sumatorio doble en el que cada sumando sea un número de Fibonacci cuyo índice sea la suma de los índices de cada uno de los factores.

 


Figurado

Números figurados

Se llaman así aquellos números que representan conjuntos cuyos elementos se pueden situar en forma de figura geométrica regular. Pueden ser triangulares, cuadrados, pentagonales, oblongos, etc.



Finito

Conjunto finito

Un conjunto es finito cuando es coordinable con un conjunto {1,2,3.....n} de números naturales para un cierto n, que sería su cardinal. También se caracteriza porque no es coordinable con ninguno de sus subconjuntos propios.



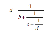
Fracción continua

Llamamos fracción continua a la expresada de esta forma:

donde a es entero y b, c…son enteros positivos llamados cocientes. Toda fracción ordinaria se puede expresar de esta forma, y todo número irracional admite aproximaciones mediante desarrollos de este tipo



Friedman

Número de Friedman

Es un tipo de número narcisista. Es aquel que en un base de numeración dada puede ser generado por todas sus cifras y los operadores +, - *,  / y ^ (potenciación). Se permiten paréntesis para salvaguardar la jerarquía de operaciones y la alteración del orden de las cifras. También se permite concatenar dos cifras.

Los primeros números de Friedman son: 25, 121, 125, 126, 127, 128, 153, 216, 289, 343, 347, 625, 688, 736, 1022, 1024, 1206, 1255, 1260, 1285, 1296, 1395, 1435, 1503, 1530, 1792, 1827, 2048, 2187, 2349, 2500, 2501, 2502, 2503, 2504, 2505, 2506, 2507, 2508, 2509, 2592, 2737, 2916, 3125, 3159,.., pues 25=52, 121=112, 125=5(1+2), 126=21*6,...

Diremos que un número de Friedman es "agradable" si las cifras mantienen su orden en los cálculos. Los primeros de estos números son: 127, 343, 736, 1285, 2187, 2502, 2592, 2737, 3125, 3685, 3864, 3972, 4096, 6455, 11264, 11664, 12850, 13825, 14641, 15552, 15585, 15612, 15613, 15617, 15618, 15621, 15622, 15623, 15624, 15626, 15632, 15633, 15642, 15645, 15655, 15656, 15662, 15667, 15688, 16377, 16384, 16447, 16875, 17536, 18432, 19453, 19683, 19739...

Si un número de Friedman todas las cifras del 1 al 9 recibe el nombre de pandigital. Son núeros de Friedman pandigitales  123456789 = ((86 + 2 × 7)5 − 91) / 34 y 987654321 = (8 × (97 + 6/2)5 + 1) / 34

Si se permiten factoriales y raíces, se pueden descubrir otros casos de números autogenerados por sus cifras. 


 

G

 

Gauss

Teoremas famosos de Gauss

a) Un número natural es suma de 3 cuadrados si y sólo si no es de la forma 4a (8b-1)

b) Todo número natural es suma de a lo más tres cuadrados.

c) Todo número natural es suma de a lo más tres triangulares.



Geométrico/a

Sucesión o progresión geométrica

Es aquella sucesión en la que cada término es igual al anterior multiplicado por un número constante llamado razón. El primer término se define aparte.

Media geométrica

Ver Media



Gnomon

La palabra gnomon tiene varios significados en Geometría y Trigonometría. Aquí nos interesa como número figurado. Un número es de tipo gnomon cuando se pueden dibujar sus unidades como escuadras de lados iguales.



Golomb

Regla de Golomb

Se le da el nombre de Regla de Golomb a un conjunto de marcas señaladas en una regla imaginaria, tal que todas las diferencias entre marcas sean distintas.

Sucesión de Golomb

Tiene una definición muy curiosa, y es que a(n) representa el número de veces que aparece n en la sucesión, si además definimos a(1)=1 e implícitamente aceptamos que cada valor de n ocupa el mínimo número de orden posible. Sus primeros elementos son:

1, 2, 2, 3, 3, 4, 4, 4, 5, 5, 5, 6, 6, 6, 6, 7, 7, 7, 7, 8, 8, 8, 8, 9, 9, 9, 9, 9, 10, 10, 10, 10, 10, 11, 11, 11, 11, 11, 12, 12, 12, 12, 12, 12,…

http://oeis.org/A001462



Grupo

Un conjunto dotado de una operación tiene estructura de grupo cuando para esa operación constituye un semigrupo y además existe un elemento neutro y cada elemento del conjunto posee un inverso. Si además posee la propiedad conmutativa diremos que el grupo es abeliano.

 


H

 

Hamming

Distancia de Hamming

Hamming definió su distancia para palabra binarias como el número total de bit en los que ambas se diferencian, comparando, como es de esperar cada uno con el que ocupa el mismo lugar en la otra palabra. Así, la distancia de Hamming entre 11001011 y 11100011 es de 2, porque son diferentes entre sí los dígitos resaltados en negrita.



Heterómero

Número heterómero

Sinónimo de Oblongo



Hexagonal

Número poligonal de seis lados. Su fórmula es H(n)=n(2n-1)

 


 

I

Idempotente

Una operación definida en un conjunto tiene la propiedad idempotente cuando para todo elemento a del conjunto se cumple

a*a = a

Por ejemplo, son idempotentes el MCD, el MCM o el orden ≤



Igualdad

Números iguales

Dos números son iguales cuando representan como cardinales al mismo conjunto o a conjuntos coordinables.



Impar

Número impar

Un número se llama impar si no es divisible entre 2. Se le puede representar por la fórmula 2n+1



Inducción completa

Método de demostración de propiedades referentes a números naturales consistente en:

  1. Demostrar la propiedad para n=1.

  2. Demostrar que si la propiedad es cierta para n, también lo es siempre para n+1.

Con esto quedará demostrado que es cierto para todo n natural.

Por ejemplo. Demuestra así que la suma de los n primeros números impares es igual a n2.



Infinito

Conjunto de tipo infinito

Un conjunto es de tipo infinito cuando es coordinable con algún subconjunto propio. Por ejemplo, el conjunto de los números naturales 1,2,3,4... es infinito, porque es coordinable con 2,4,6,8…



Inverso

Elemento inverso en un grupo

Un elemento b de un grupo es inverso de otro a y se representa por a-1, cuando la operación entre ambos da como resultado el elemento neutro:

a*b = e, o bien a*a-1 = e

Si el grupo es aditivo, el inverso se suele llamar opuesto (-a) , y en ese caso se cumple a + (-a) = 0

 


J

 

Jacobsthal

Sucesión de Jacobsthal

Es una sucesión recurrente de segundo orden, definida por

X0=0,   X1=1,   Xn=Xn-1+2Xn-2

Sus primeros términos son: 0, 1, 1, 3, 5, 11, 21, 43, 85, 171, 341, 683, 1365, 2731, 5461, 10923, 21845, 43691,…http://oeis.org/A001045



Jerarquía de operaciones

La jerarquía de una operación es el orden de prioridad que posee en un cálculo complejo cuando no hay paréntesis presentes. Consiste en el siguiente orden:

  1. Potencias y raíces

  2. Multiplicaciones y divisiones

  3. Sumas y restas


K



Kaprekar

En 1949 este matemático indio estudió la rutina u operación que lleva su nombre. A partir de cualquier número de cuatro cifras N no todas iguales formó dos números distintos: N' formado por las mismas cifras en orden decreciente y N'' formado mediante una ordenación creciente. A la diferencia K(N) = N' - N'' la llamaremos Función de Kaplekar de N. Así K(2543) = 5432 - 2345 = 3087. Esta función puede iterarse, y formar K(K(N)), K(K(K(N))), etc. En el ejemplo K(K(2543)) = K(3087) = 7803 -3087 =  4716. Estas definiciones se extienden a número cualquiera de cifras, aunque Kaprekar sólo estudió el caso de cuatro.

Si se itera la función de Kaprekar puede llegarse al número cero, a una constante o a un ciclo. Este resultado depende del número de cifras y del valor de N. En el caso de terminar en una constante, esto se produce porque K(N)=N. Esto ocurre con el número 495 en el caso de tres cifras y con 6174 en el caso de cuatro (en sistema de numeración decimal), a los que se les llama constantes de Kaprekar para ese número de cifras.
Para dos cifras no existen constantes, pero se producen ciclos, como 9 , 81, 63, 27, 45, 9. Para cinco cifras no existen números invariantes respecto a la función K, pero sí se producen ciclos. Con seis existen dos: 549945 y 631764.

 


L

 

Ley

Ley

La palabra ley puede significar en general toda fórmula, algoritmo o regla que determina la estructura o formación de un objeto matemático.

Ley de composición interna

Dado un conjunto S, llamaremos Ley de Composición Interna a toda aplicación del conjunto S×S en S, es decir, una aplicación que hace corresponder a cualquier par de elementos del conjunto S en otro elemento del mismo conjunto.

Las operaciones de sumar y multiplicar suelen estar definidas de forma que constituyan leyes de composición interna. No así la resta y la división.

Ley formal

Se utiliza como sinónimo de propiedad de una operación.



Lychrel

Números de Lychrel

Se llaman números de Lychrel a aquellos para los que no se sabe si el Algoritmo 196 tiene parada o no



Lucas

Sucesión de Lucas

Se llama sucesión de Lucas a la siguiente: 1, 3, 4, 7, 11, 18, ...que cumple que cada elemento es suma de los dos anteriores, definiendo además a1 como 1 y a2 como 3. Es muy parecida a la de Fibonacci, con la que comparte propiedades.

 


 

M

Mayor

Ver Desigualdad



McNugget

Un número entero positivo “McNugget”, es aquel que es expresable como combinación lineal, con coeficientes enteros no negativos, de los números 6, 9 y 20. Se llama así porque 6, 9 y 20 eran los contenidos de las cajas de McDonald's® Chicken McNuggetsTM.


Media

Aritmética

La media aritmética de un conjunto de números es el cociente de dividir su suma entre el número de elementos.

Geométrica

La media aritmética de un conjunto de números es la raíz de índice el número de elementos del producto de los mismos.

Armónica

La media armónica de un conjunto es el número inverso de la media aritmética de los inversos de los elementos de ese conjunto.

Contraarmónica Ver  contraarmónica

 


Menor

Ver Desigualdad



Mian-Chowla

Sucesión de Mian-Chowla

Esta sucesión se define por recurrencia de dos formas equivalentes:

(a) a(1) = 1, a(n) es el menor número mayor que a(n-1) tal que todas las sumas a(i)+a(j) con i, j ≤n son distintas.

(b) a(1) = 1, a(n) es el menor número mayor que a(n-1) tal que todas las diferencias a(i)-a(j) con i,j≤n i>j son distintas.



Minuendo

Primer dato de una operación de restar. Así en a-b llamamos minuendo a a y sustraendo a b.



Moessner

Algoritmo (simple curiosidad) para extraer potencias de la serie natural tachando de forma periódica. Este algoritmo lo propuso Alfred Moessner y fue demostrada su validez para cualquier valor natural por Oskar Perron en 1951 usando la inducción matemática.



Monotonía

Propiedad monótona

Una operación * es monótona cuando a>b implica que a*c>b*c para todo número c del conjunto en el que se opera.
Así, son monótonas la adición y la multiplicación por un número positivo.



Multiplicación

Multiplicación como operación

Operación de hallar el producto

Multiplicación "rusa"

Es una forma de multiplicar que viene de la antigüedad y se popularizó en Rusia. Requiere velocidad de cálculo mental para duplicar reiteradamente uno de los factores mientras se divide entre dos el otro (de forma entera, sin decimales). Finalmente se suman las duplicaciones que correspondan a las mitades impares. Así:

Multiplicar 23 por 120

Dividir entre dos el 23

Duplicar el 120

Sumar los correspondientes a impares

23

120

120

11

240

240

5

480

480

2

960

 

1

1920

1920

Suma de la tercera columna

2760 = 23*120

 

Consulta el modelo de Hoja de Cálculo que desarrolla esta multiplicación

El fundamento de este método es la representación del primer número en base binaria: 23 = 2^4+2^3+2^2+1, es decir, como 11101(2. Las cifras 1 indican qué potencia se ha de sumar.

 

Múltiplo

Número múltiplo de otro

Ver División

 


N

 

Narayana

Sucesión de las vacas de Narayana

Sucesión similar a la de Fibonacci, con este planteamiento:

Una vaca tiene anualmente una cría. Cada una de ellas, cuando ya es novilla a los cuatro años, también tiene una cría anual ¿Cuántas vacas habrá a los N años?

Sus primeros términos son 1, 1, 1, 2, 3, 4, 6, 9, 13, 19, 28, 41, 60, …



Narcisista

Número narcisista

Un número es narcisista en el sistema de numeración decimal cuando equivale a la suma de las potencias de sus cifras elevadas todas al mismo índice. El más pequeño que se conoce es el 153, que equivale a 13+53+33 y le sigue el 370 =  33+73+03

Un narcisista impresionante es 410 + 610 + 710 + 910 + 310 + 010 + 710 + 710 + 710 + 410 = 4679307774

Un tipo de números similar es el de Friedman.



Natural

Número natural

Son los números 1,2,3,4....(a veces se incluye el 0 para algunas cuestiones), los más sencillos que existen y los primeros en ser inventados por la Humanidad. Su definición rigurosa se construye a partir de los Axiomas de Peano. Se representan por N.

El conjunto N es semigrupo para la adición y la multiplicación.



Neutro

Elemento neutro

En elemento O se llama neutro para una operación * cuando a*O=O*a=a para todo a del conjunto en el que se opera. En la suma de enteros el neutro es el 0 y en la multiplicación, el 1.



Numeración

Sistema de numeración

Es un conjunto de símbolos finitos y reglas que permiten representar todos los números naturales.

Sistema de numeración decimal

Es el constituido por las cifras 0,1,2,3...9 unidas mediante un sistema de representación posicional, es decir, en el que cada cifra tiene un valor distinto según su posición.



Número

Ver Número

Automórfico, Cardinal, Cuadrado, Figurado, Heterómero,

Impar, Narcisista, Par, Piramidal, Plástico, Poligonal, Triangular, Trimórfico

Ver Números

Proporcionales

 


 

O

Oblongo

Número del tipo n(n+1), siendo n un número natural.



Operación

Es toda ley que hace corresponder a cada par de elementos de un conjunto, otro elemento único de ese conjunto. Son operaciones la adición, sustracción, multiplicación, etc.

Opuesto

Ver inverso



Orden

Definición de relación de orden

Una relación ≤ definida en un conjunto A se llama de orden cuando cumple las tres propiedades

Reflexiva: Para todo elemento a de A se cumple que a ≤ a
Antisimétrica: Si dos elementos de A, a y b, cumplen simultáneamente que a ≤ b y b≤ a, entonces a=b, es decir, son idénticos
Transitiva: Si tres elementos a, b y c de A cumplen que a ≤ b y que b ≤ c, entonces, a ≤ b

Si un conjunto está dotado de una relación de orden, le llamaremos ordenado. Así, los números naturales están ordenados mediante la relación "menor o igual" y otras muchas.

Orden total

Los números naturales, para la relación ≤ presentan un orden total, porque para cada par de números a y b siempre se verifica a ≤ b o bien b ≤ a (son comparables).

Orden parcial

Los números naturales, para la relación de ser múltiplo presentan un orden parcial, dado que existen pares de números no comparables, como 4 y 7 que ninguno de ellos es múltiplo del otro. Buen orden

El orden natural de los números posee buena ordenación, es decir, en cada conjunto finito de números naturales podemos elegir siempre el mínimo.

Cotas y máximos

Diremos que un elemento a es cota superior de un conjunto ordenado A, cuando se verifica x ≤ a "x Î A (para todo x de A). Por ejemplo, número 2 es una cota superior de los números negativos.

Si, por el contrario, se verifica a ≤ x "x Î A diremos que a es cota inferior del conjunto A.  De forma similar al ejemplo anterior, el cero es cota inferior de los positivos.

Llamaremos extremo superior o supremo a una cota superior tal que no exista ninguna otra cota superior que sea inferior a ella. Si además pertenece al conjunto, la llamaremos máximo del conjunto. Así, El número 24 es el máximo de sus propios divisores 1,2,3,4,6...24, y el número 0 es extremo superior de los negativos, pero no es su máximo.

Igualmente podemos definir extremo inferior o ínfimo, y  mínimo. El extremo inferior es la mayor cota inferior del conjunto. El cero es extremo inferior de los números reales positivos. El mínimo es un extremo inferior de A que pertenece al mismo A. El 1 es el mínimo divisor de cualquier otro número natural.

Un elemento es maximal en un conjunto ordenado si no existe en el conjunto otro elemento mayor que él. En un mismo conjunto pueden existir varios elementos maximales. Por ejemplo, en el conjunto 2, 3, 5, 6, 12, 15 de divisores de 60, ordenados por la relación divisor - múltiplo, los números 12 y 15 son maximales (pero no máximos). De forma simétrica se definen los minimales. En el ejemplo anterior lo serían 2,3 y 5.

 


 

P



Padovan

Sucesión de Padovan

Es la sucesión definida por recurrencia:

P(0)=1, P(1)=1, P(2)=1,  P(n)=P(n-2)+P(n-3)

Sus primeros términos son: 1, 1, 1, 2, 2, 3, 4, 5, 7, 9, 12, …



Palindrómico

Número palindrómico (o capicúa) es aquel que es igual a su reverso. Los números de una sola cifra se consideran palindrómicos



Pandigital

Número pandigital

Número pandigital es aquel que contiene en su expresión decimal las diez cifras 0123456789. Se puede extender la definición a otras bases. Es sinónimo de capicúa.



Par

Número par

Un número se llama par si es divisible entre 2. Se le puede representar por la fórmula 2n, con n natural.



Paridad

Paridad de un número natural

Es el carácter par o impar de ese número.



Peano

Axiomas de Peano

El conjunto N de números naturales se puede definir axiomáticamente mediante cinco axiomas debidos a Peano:

Los números naturales son los elementos de un conjunto N en el que existe un elemento llamado 1 y una relación llamada siguiente (sg(n)) que cumple:



Pell

Ecuación de Pell

Es aquella del tipo ax2+1 = y2, con a entero positivo.

Si a es cuadrado perfecto, no existen soluciones a esta ecuación, pero si no lo es, obtendremos infinitas soluciones.

Esta ecuación no la estudió Pell (fue un error de Euler, que le dio ese nombre), pero sí Fermat y Wallis.

Es útil en muchos problemas, como el de hallar números triangulares y cuadrados a la vez.

Números de Pell

Se llaman números de Pell o números lambda a los términos e la sucesión: 0, 1, 2, 5, 12, 29, 70, 169, 408, 985, 2378, 5741, 13860, 33461, 80782, 195025, 470832, 1136689, ..., que se obtienen mediante la fórmula de recurrencia a1 = 0, a2=1, an=2*an-1 + an-2.

Estos números coinciden con los coeficientes de la aproximación a la raíz cuadrada de 2 mediante fraciones continuas. Dicha aproximación da lugar a una sucesión de fracciones

1

3

7

17

41

99

239

577

1393

1

2

5

12

29

70

169

408

985

en la que los denominadores coinciden con los números de Pell y a los numeradores se les conoce como números de Pell-Lucas. Sus cocientes se aproximan a la raíz de 2.



Pentagonal

Número poligonal de cinco lados. Su fórmula es P(n)=n(3n-1)/2



Perrin

Sucesión de Perrin

Es la sucesión definida por recurrencia:

P(0)=3, P(1)=0, P(2)=2,  P(n)=P(n-2)+P(n-3)

Sus primeros términos son: 3, 0, 2. 3, 2, 5, 5, 7, 10, 12, 17, 22, …



Piramidal

Número Piramidal

Es aquel tal que las unidades del conjunto que representa se pueden situar en forma de pirámide. Son sumas de poligonales consecutivos.

Por ejemplo, los piramidales triangulares serán 1, 4, 10, 20, 35, etc. y su fórmula general (n(n+1)(n+2))/6

Piramidal centrado

Es un número piramidal en el que los sumandos son poligonales centrados.



Pitagórica

Ecuación pitagórica

Es aquella que tiene la forma a2 + b2 = c2

Sus soluciones primitivas, en las que a, b y c son primos entre sí, vienen dadas por las expresiones

a=m*n, b=(n2 – m2)/2, c=(n2 + m2)/2

En las que n y m son números impares primos entre sí, con n>m



Plástico

Se da el nombre de número plástico al número 1,3247179572..., raíz de la ecuación x3 = x + 1

Aparece como límite del cociente A(n)/A(n-1) en las sucesiones de Perrin y Padovan.



Poligonal

Número Poligonal

Es un número figurado tal que las unidades del conjunto que representa se pueden situar ordenadamente en forma de polígono. Pueden ser triangulares, cuadrados, pentagonales, etc.

Poligonal centrado

Es un poligonal en el que las sumas parciales que lo forman son a su vez poligonales con un centro.

En la figura se representa un cuadrado centrado de orden 3.


Poligorial

Los números poligoriales se definen de forma similar a los factoriales, pero en lugar de multiplicar números naturales consecutivos, lo hacen con los números poligonales.

Un número poligorial de orden k equivale al producto de los primeros números poligonales de orden k. Por ejemplo, 180 es poligorial de orden 3, porque es el producto de los cuatro primeros números triangulares: 180=1*3*6*10.


Potencia

Potencia de un número natural con exponente natural

Llamaremos potencia de exponente k de un número natural n llamado base, y la representaremos por nk, al producto n.n.n.n de k factores iguales a n.



Potenciación

Operación de calcular la potencia de un número



Producto

Producto de dos números

El producto de dos números naturales a y b es otro número c obtenido como b sumas reiteradas de a. Coincide con la suma reiterada a veces del número b.

Proporción

Una proporción es una igualdad de dos fracciones o razones: a/b = c/d. Los números que forman una proporción se llaman proporcionales.

Proporcional

Cuatro números son proporcionales cuando forman una proporción entre ellos


 

R

Radicación

Es la operación de calcular la raíz de un número.



Raíz

Raíz enésima entera

Dado un número natural a, llamaremos raíz enésima entera del mismo a otro número natural s que cumpla: sn <= a < (s+1)n

Llamaremos resto de esta operación de radicación al número r que cumple: a = sn +r

Si r es igual a 0, diremos que la raíz es exacta.



Razón

Sinónimo de fracción, cociente o comparación.



Recamán

Sucesión de Recamán

Es una original sucesión que Bernardo Recamán Santos envió a N. J. A. Sloane en 1991 para su colección, y que desde entonces ha originado múltiples desarrollos.

Su definición es la siguiente (versión con a(1)=1):

a(1) = 1

a(n) = a(n-1) n, si este valor es positivo y no figura ya en la sucesión

a(n) = a(n-1) +n, en caso contrario.

Sus primeros términos son: 1, 3, 6, 2, 7, 13, 20, 12, 21, 11, 22, 10, 23, 9, 24, 8, 25, 43, 62, 42, 63, 41, 18, 42, 17, 43, 16, 44, 15, 45, 14, 46, 79, 113, 78, 114, 77, 39, 78, 38, 79, 37, 80, 36, 81, 35, 82, 34, 83, 33, 84, 32, 85, 31, 86, 30, 87, 29, 88, 28, 89, 27, 90, 26, 91, 157,… (existe otra versión que comienza en 0, idéntica a esta en todo lo demás http://oeis.org/A005132)



Rectangular

Es un número cuyas unidades se pueden ordenar en forma de rectángulo de lados mayores que uno.



Recurrencia

Sucesiones recurrentes

Una sucesión es recurrente cuando, a partir de cierto índice, todos los elementos se definen en función de los anteriores.

Recurrencia lineal de primer orden

Es aquella definida por una relación del tipo xn=a1xn-1+a2

Recurrencia lineal de segundo orden

Es aquella definida por una relación del tipo xn=a1xn-1+a2xn-2+a3



Reducida

Fracción reducida

Se llama fracción reducida de una fracción continua a la resultante de eliminar de la misma su últimos cocientes. También recibe este nombre a toda fracción resultante del algoritmo de los cumulantes aplicados los restos del algoritmo de Euclides.



Relación binaria

Una relación binaria en un conjunto A es un subconjunto R del producto cartesiano AxA.
Diremos que dos elementos x e y de A están
relacionados, y escribiremos aRb cuando el par  (a,b) pertenezca al subconjunto R



Repidígito

Un número es repidígito si en un sistema de numeración todas sus cifras son iguales, como 22222.



Repituno

Un número es repituno, repuno o repunit, si en un sistema de numeración todas sus cifras son iguales a la unidad: 111111.



Resta

Sinónimo de sustracción



Resto

Resto de una división

Ver división



Reverso

Sinónimo de número simétrico de otro.

 


S

Saint-Exupery

Números de Saint-Exupery

Reciben este nombre aquellos números que coinciden con el producto de los tres lados de una terna pitagórica. El primero, como era de esperar, es 60, que es el producto de 3, 4 y 5, elementos de la terna más sencilla que conocemos. El segundo, 480, es el producto de sus dobles, 6*8*10.

 

Semigrupo

Un conjunto dotado de una operación constituye un semigrupo cuando esa operación es cerrada y asociativa en ese conjunto. El semigrupo puede ser conmutativo si la operación tiene esa propiedad y también poseer un elemento neutro.



Semifactorial

Llamaremos semifactorial de un número natural n al producto n(n-2)(n-4)(n-6).... terminando el producto en  2 o 1, según la paridad de n y lo representaremos así: n!!



Simétrico

Número simétrico de otro en una base dada

Llamamos reverso o simétrico de un número natural a otro número que contiene las mismas cifras pero en orden opuesto.



Sistema

Sistema de numeración

Un sistema de numeración es un conjunto finito de símbolos y unas reglas de formación que permiten representar números válidos en dicho sistema.



Sólido

Se llama sólido a aquel número natural cuyas unidades se pueden disponer como un paralelepípedo rectángulo de lados mayores que uno. Equivale a decir que se puede expresar como producto de tres números naturales.



Sordo

Llamaremos sordo a todo número natural que no posea raíz exacta.



Sucesión

Sucesión de números naturales

Es toda función definida de N (conjunto de los números naturales) en N. A los elementos orígenes de la función les llamaremos índices, y a las imágenes elementos de la sucesión.

En la práctica es una secuencia ordenada de números naturales del tipo 2,4,7,11,12,....representada por los símbolos
a
1, a2, a3, a4, ...an, ... en la que an es el elemento y n el índice.



Suma

Suma de dos números naturales

La suma de dos números naturales a y b (llamados sumandos) es otro número c (llamado suma) que es el cardinal de un conjunto formado por la unión de otros dos conjuntos disjuntos cuyos cardinales son a y b. Es decir: se eligen dos conjuntos que representen a los sumandos y que sean disjuntos. Su unión representará al número suma.

La operación de sumar, o hallara la suma se llama adición.



Sumando

Cada uno de los datos de una suma



Sustracción

Operación de restar a un número a otro b, es decir, encontrar otro número c tal que se cumpla: a=b+c



Sustraendo

Segundo dato de una operación de restar. Así en a-b llamamos minuendo a a y sustraendo a b.




T

 

 

Teorema

Ver Teoremas de Bachet de Meziriac



Tetractys

Nombre dado por los pitagóricos al número diez, considerado como número triangular..



Tetragonal

Número tetragonal

Sellaman tetragonales a los números piramidales de tres lados.
Son los números 1, 4, 10, 20, 35, etc. y su fórmula general es (n(n+1)(n+2))/6



Triangular

Número triangular

Un número triangular es aquel cuyas unidades se pueden situar en forma de triángulo

Los primeros números triangulares son: 1, 3, 6, 10, 15, 21, …

Todos siguen la fórmula n(n+1)/2, con n=0, 1, 2, 3, …



Tribonacci


Sucesión de Tribonacci


Nombre coloquieal con el que se conocen los elementos de la sucesión construida como la de Fibonacci, pero usando sumas de tres en tres, es decir:

A(1)=1, A(2) = 1, A(3) = 2, y como fórmula de recurrencia  A(n) = A(n-3)+A(n-2)+A(n-1) para n>3

Los primeros términos son: 1, 1, 2, 4, 7, 13, 24, ...

 


U

 

Ulam

 

Sucesión de Ulam

Es la sucesión 1, 2, 3, 4, 6, 8, 11, 13, 16, 18, 26, 28, 36, 38, 47, ...definida por Stanislav Ulam

En ella a1=1, a2=2 y los siguientes términos son los menores números que pueden expresarse de forma única como suma de dos términos tomados entre sus anteriores. Así, 3=1+2, 4=1+3, 6=4+2. El 5 no está porque 5=2+3=1+4.

Espiral de Ulam

Es una disposición de los números en espiral en la que los números primos parecen seguir ciertas diagonales.

Números de Ulam

Se llaman números de Ulam a los que forman una sucesión construida de la siguiente forma:

Se declara u(1)=1 y u(2)=2 (esto se puede alterar) y después definiremos u(n+1) como el primer número que se pueda expresar como suma de dos números de Ulam anteriores distintos, de forma única.



Unidad

Se le da el nombre de unidad al número 1, elemento neutro de la multiplicación.


 

W


 

Woodall

Un número de Woodall es un número natural de la forma n · 2n − 1. Los números de Woodall más pequeños son  1, 7, 23, 63, 159, 383, 895, ...


 

Y



Yellowstone

En sucesión se comienza con los valores a(1)=1, a(2)=2 y a(3)=3, y los siguientes a(n) son los números naturales más pequeños que aún no hayan aparecido en la sucesión y que tengan algún factor común con a(n-2) y ninguno con a(n-1). Para entenderlo bien podemos ir generando términos según la definición. A 1, 2 y 3 le debe seguir el 4, que es el más pequeño que comparte factores primos con el 2 pero no con el 3. Tenemos ya 1, 2, 3 y 4.

El siguiente no puede ser 5, 6, 7 ni 8. Deberá ser el 9, que comparte el factor 3 con el 3 y ninguno con el 4. Así podemos seguir generando, hasta completar:

1, 2, 3, 4, 9, 8, 15, 14, 5, 6, 25, 12, 35, 16, 7, 10, 21, 20, 27, 22, 39, 11, 13, 33, 26, 45, 28, 51, 32, 17, 18, 85, 24, 55, 34, 65,…( http://oeis.org/A098550)

 

Z

Zeckendorf

Cada entero positivo puede expresarse de manera única como una suma de números distintos de Fibonacci no consecutivos. La secuencia de números de Fibonacci que se suman se denomina representación de Zeckendorf