|
|
![]() |
|
|
|
|
|
Divisibilidad Teoría Propuestas Diccionario Herramientas |
Estás en Inicio > Sin decimales > Divisibilidad > Apuntes interactivos

Los Apuntes interactivos son hojas de cálculo en las que se intercalan textos, fórmulas, imágenes y cálculos dirigidos a la explicación breve de un tema concreto.
A fin de promover el uso del software libre y gratuito, los apuntes están desarrollados en OpenOffice.org, pero su traducción a otras hojas es casi siempre inmediata.
En el tema de Divisibilidad dispones de los siguientes:
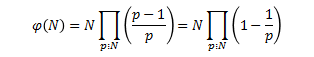
Definición, cálculo y relación con grupos multiplicativos en Zm

Descarga:
Tres formas distintas de tratar la relación múltiplo-divisor con hoja de cálculo.

Descarga: